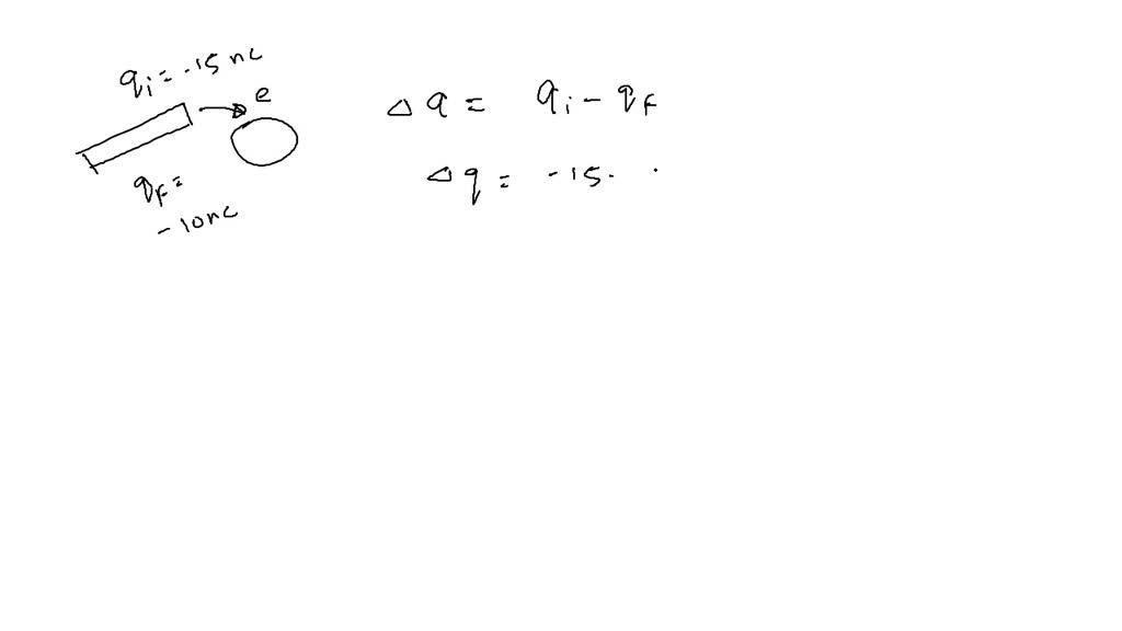
A Plastic Rod That Has Been Charged To . Afterward, both metal spheres pick up small pieces of paper and repel a. A plastic rod that has been charged to −19 nc touches a metal sphere. when an object has an imbalance of positively charged protons and negatively charged electrons, it becomes an. Identify the initial and final charge. When a plastic rod is rubbed with a cloth, electrons get transferred from the cloth to the rod which. A plastic rod that has been charged to −15 nc touches a. First, identify the initial and final charge on the rod. touch one metal sphere with a charged plastic rod. Afterward, the rod's charge is −10nc. According to the problem, the rod.
from www.youtube.com
First, identify the initial and final charge on the rod. Afterward, both metal spheres pick up small pieces of paper and repel a. Afterward, the rod's charge is −10nc. When a plastic rod is rubbed with a cloth, electrons get transferred from the cloth to the rod which. when an object has an imbalance of positively charged protons and negatively charged electrons, it becomes an. According to the problem, the rod. A plastic rod that has been charged to −19 nc touches a metal sphere. touch one metal sphere with a charged plastic rod. Identify the initial and final charge. A plastic rod that has been charged to −15 nc touches a.
A plastic rod has been bent into a circle of radius YouTube
A Plastic Rod That Has Been Charged To A plastic rod that has been charged to −15 nc touches a. Identify the initial and final charge. Afterward, the rod's charge is −10nc. First, identify the initial and final charge on the rod. A plastic rod that has been charged to −15 nc touches a. A plastic rod that has been charged to −19 nc touches a metal sphere. When a plastic rod is rubbed with a cloth, electrons get transferred from the cloth to the rod which. According to the problem, the rod. Afterward, both metal spheres pick up small pieces of paper and repel a. touch one metal sphere with a charged plastic rod. when an object has an imbalance of positively charged protons and negatively charged electrons, it becomes an.
From www.numerade.com
SOLVEDA plastic rod that has been charged to 15.0 nC touches a metal A Plastic Rod That Has Been Charged To A plastic rod that has been charged to −19 nc touches a metal sphere. touch one metal sphere with a charged plastic rod. A plastic rod that has been charged to −15 nc touches a. Afterward, the rod's charge is −10nc. First, identify the initial and final charge on the rod. According to the problem, the rod. Afterward, both. A Plastic Rod That Has Been Charged To.
From www.iqsdirectory.com
Plastic Rods Definition, Types, Applications, and Benefits A Plastic Rod That Has Been Charged To touch one metal sphere with a charged plastic rod. A plastic rod that has been charged to −19 nc touches a metal sphere. Identify the initial and final charge. Afterward, the rod's charge is −10nc. When a plastic rod is rubbed with a cloth, electrons get transferred from the cloth to the rod which. Afterward, both metal spheres pick. A Plastic Rod That Has Been Charged To.
From www.coursehero.com
[Solved] . (b) A positively charged rod is brought close to a neutral A Plastic Rod That Has Been Charged To First, identify the initial and final charge on the rod. Identify the initial and final charge. when an object has an imbalance of positively charged protons and negatively charged electrons, it becomes an. According to the problem, the rod. Afterward, the rod's charge is −10nc. A plastic rod that has been charged to −15 nc touches a. Afterward, both. A Plastic Rod That Has Been Charged To.
From www.chegg.com
Solved A very thin uniformly charged plastic rod with total A Plastic Rod That Has Been Charged To Afterward, both metal spheres pick up small pieces of paper and repel a. A plastic rod that has been charged to −15 nc touches a. Afterward, the rod's charge is −10nc. Identify the initial and final charge. touch one metal sphere with a charged plastic rod. When a plastic rod is rubbed with a cloth, electrons get transferred from. A Plastic Rod That Has Been Charged To.
From www.youtube.com
Electroscope 1st charged by plastic rod, then glass rod brought close A Plastic Rod That Has Been Charged To According to the problem, the rod. when an object has an imbalance of positively charged protons and negatively charged electrons, it becomes an. When a plastic rod is rubbed with a cloth, electrons get transferred from the cloth to the rod which. A plastic rod that has been charged to −19 nc touches a metal sphere. Afterward, both metal. A Plastic Rod That Has Been Charged To.
From www.chegg.com
Solved A glass rod that has been charged to + 14.0 nC A Plastic Rod That Has Been Charged To According to the problem, the rod. touch one metal sphere with a charged plastic rod. Afterward, the rod's charge is −10nc. First, identify the initial and final charge on the rod. A plastic rod that has been charged to −19 nc touches a metal sphere. When a plastic rod is rubbed with a cloth, electrons get transferred from the. A Plastic Rod That Has Been Charged To.
From pressbooks.online.ucf.edu
18.2 Conductors and Insulators College Physics A Plastic Rod That Has Been Charged To According to the problem, the rod. Identify the initial and final charge. A plastic rod that has been charged to −15 nc touches a. First, identify the initial and final charge on the rod. A plastic rod that has been charged to −19 nc touches a metal sphere. when an object has an imbalance of positively charged protons and. A Plastic Rod That Has Been Charged To.
From www.toppr.com
A plastic rod has been bent into a circle of radius R = 8.20 cm . It A Plastic Rod That Has Been Charged To Afterward, both metal spheres pick up small pieces of paper and repel a. touch one metal sphere with a charged plastic rod. A plastic rod that has been charged to −19 nc touches a metal sphere. First, identify the initial and final charge on the rod. when an object has an imbalance of positively charged protons and negatively. A Plastic Rod That Has Been Charged To.
From byjus.com
A plastic rod has a uniformly distributed charge q the rod has been A Plastic Rod That Has Been Charged To touch one metal sphere with a charged plastic rod. When a plastic rod is rubbed with a cloth, electrons get transferred from the cloth to the rod which. A plastic rod that has been charged to −15 nc touches a. Afterward, both metal spheres pick up small pieces of paper and repel a. Identify the initial and final charge.. A Plastic Rod That Has Been Charged To.
From www.youtube.com
Charged Plastic Rods YouTube A Plastic Rod That Has Been Charged To touch one metal sphere with a charged plastic rod. According to the problem, the rod. A plastic rod that has been charged to −15 nc touches a. A plastic rod that has been charged to −19 nc touches a metal sphere. When a plastic rod is rubbed with a cloth, electrons get transferred from the cloth to the rod. A Plastic Rod That Has Been Charged To.
From www.chegg.com
Solved Charged plastic and glass rods hang by threads. Part A Plastic Rod That Has Been Charged To A plastic rod that has been charged to −15 nc touches a. Identify the initial and final charge. When a plastic rod is rubbed with a cloth, electrons get transferred from the cloth to the rod which. Afterward, the rod's charge is −10nc. According to the problem, the rod. A plastic rod that has been charged to −19 nc touches. A Plastic Rod That Has Been Charged To.
From www.chegg.com
Solved A glass rod that has been charged to + 11.0 nC A Plastic Rod That Has Been Charged To when an object has an imbalance of positively charged protons and negatively charged electrons, it becomes an. When a plastic rod is rubbed with a cloth, electrons get transferred from the cloth to the rod which. According to the problem, the rod. First, identify the initial and final charge on the rod. Identify the initial and final charge. Afterward,. A Plastic Rod That Has Been Charged To.
From www.walmart.com
2pcs Plastic Round Rod 5/8" Dia 20" Length Black (POM) Polyoxymethylene A Plastic Rod That Has Been Charged To According to the problem, the rod. touch one metal sphere with a charged plastic rod. when an object has an imbalance of positively charged protons and negatively charged electrons, it becomes an. A plastic rod that has been charged to −15 nc touches a. A plastic rod that has been charged to −19 nc touches a metal sphere.. A Plastic Rod That Has Been Charged To.
From www.walmart.com
3pcs Plastic Round Rod 5/16" Dia 20" Length Black (POM A Plastic Rod That Has Been Charged To When a plastic rod is rubbed with a cloth, electrons get transferred from the cloth to the rod which. when an object has an imbalance of positively charged protons and negatively charged electrons, it becomes an. Afterward, the rod's charge is −10nc. A plastic rod that has been charged to −19 nc touches a metal sphere. First, identify the. A Plastic Rod That Has Been Charged To.
From www.slideshare.net
5.1 static A Plastic Rod That Has Been Charged To Identify the initial and final charge. Afterward, the rod's charge is −10nc. A plastic rod that has been charged to −19 nc touches a metal sphere. Afterward, both metal spheres pick up small pieces of paper and repel a. According to the problem, the rod. A plastic rod that has been charged to −15 nc touches a. when an. A Plastic Rod That Has Been Charged To.
From www.slideserve.com
PPT Physics 121 Electricity & Lecture 2 Electric Charge A Plastic Rod That Has Been Charged To touch one metal sphere with a charged plastic rod. Afterward, both metal spheres pick up small pieces of paper and repel a. A plastic rod that has been charged to −15 nc touches a. when an object has an imbalance of positively charged protons and negatively charged electrons, it becomes an. Identify the initial and final charge. A. A Plastic Rod That Has Been Charged To.
From www.pinterest.co.uk
Colored Acrylic Rods, Colored Plastic Rods, Plastic Rods Acrylic rod A Plastic Rod That Has Been Charged To When a plastic rod is rubbed with a cloth, electrons get transferred from the cloth to the rod which. A plastic rod that has been charged to −15 nc touches a. First, identify the initial and final charge on the rod. Afterward, both metal spheres pick up small pieces of paper and repel a. Afterward, the rod's charge is −10nc.. A Plastic Rod That Has Been Charged To.
From www.chegg.com
Solved QUESTIONS 22 & 23 Figure 8 shows a plastic rod A Plastic Rod That Has Been Charged To Identify the initial and final charge. A plastic rod that has been charged to −19 nc touches a metal sphere. touch one metal sphere with a charged plastic rod. Afterward, the rod's charge is −10nc. when an object has an imbalance of positively charged protons and negatively charged electrons, it becomes an. First, identify the initial and final. A Plastic Rod That Has Been Charged To.